Solve P Q X Y
p 2 x 2 (p 2q 2)xq 2 =0 quadratic equations;Answer (1 of 3) It is in the form of f (p,q)=0 p^2q^2npq=0 To obtain the solution consider z=axbycp Partial derivative of Z with respect to x is p=a Partial derivative of z with respect to y is q=b Then a^2b^2nab=0 From above equation a=(nbsqrtof (n^2b^24b^2))÷2 and a= (nb
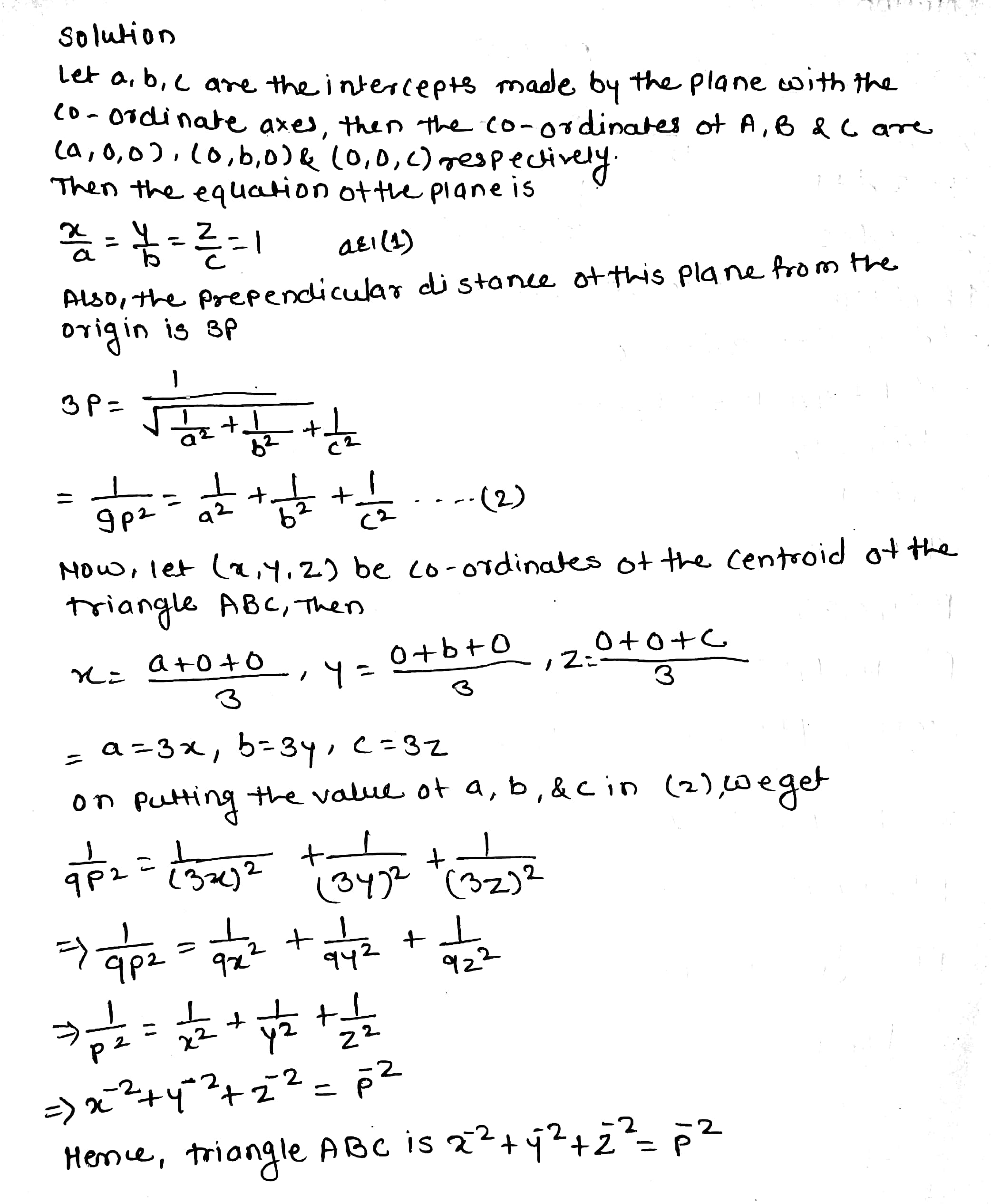
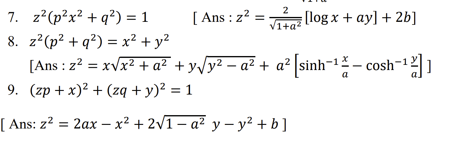
Solve z^2(p^2 q^2)=x^2 y^2
Solve z^2(p^2 q^2)=x^2 y^2-Partial Differential Equations Eliminate arbitrary constants 2z = x^2/a^2 y^2/b^2 https//youtube/LdQSJOYk2JA Eliminate arbitrary constants z=a(xy)b(xDy/ds = y^2 dZ/ds = (xy)Z From the first two equations obtain dy/dx = y^2/x^2 Separating and integrating leads to 1/x 1/y = C1 which gives the first integral Z1 = (yx)/xy =C1 Using the first and third equations obtain dZ/dx = (x y)Z/ (x^2) = 1/x 1/x (1C1x)ZSeparating dZ/Z = 2/x
Maths
First week only $499!A B C D E F G H I J K L M 9 1 5 16 6 17 3 13 4 11 19 7 2 N O P Q R S T U V W X Y Z Author JGallacher Created Date PMPp Qq = R The auxiliary equation is dx x ( y2 − z2) = dy y ( z2 − x2) = dz z ( x2 − y2) (1) Integrating, logz = log(x y) logb ⇒ z x y = b ∴ The general solution is ϕ(1 x 1
If the abscissae of points A, B are the roots of the equation, x^2 2ax – b^2 = 0 and ordinates of A, B are roots of y^2 2py – q^2 = 0 asked Nov 25, These are standard in the sense that any other curve given by a quadratic equation is obtained from one of these by moving the curve in the plane by translating and/or rotating ) standart ellipse equation x 2 a 2 y 2 b 2 = 1 gives me general equation 1 a 2 x 2 0 x y 1 b 2 y 2 0 x 0 y − 1 = 0 If p 0, p 0, the parabola opens leftSolve x^2 p^2 y^2 q^2 = 1, where p=∂z / ∂x and q = ∂z / ∂y MATHEMATICS2 question answer collection
Solve z^2(p^2 q^2)=x^2 y^2のギャラリー
各画像をクリックすると、ダウンロードまたは拡大表示できます
![]() 1 | ![]() 1 | ![]() 1 |
![]() 1 | ![]() 1 | 1 |
1 | ![]() 1 | ![]() 1 |
![]() 1 | 1 | ![]() 1 |
1 | ![]() 1 | ![]() 1 |
![]() 1 | ![]() 1 | 1 |
![]() 1 | 1 | 1 |
![]() 1 | 1 | 1 |
1 | ![]() 1 | ![]() 1 |
![]() 1 | ![]() 1 | ![]() 1 |
![]() 1 | ![]() 1 | ![]() 1 |
![]() 1 | ![]() 1 | 1 |
![]() 1 | ![]() 1 | ![]() 1 |
![]() 1 | ![]() 1 | 1 |
1 | ![]() 1 | ![]() 1 |
1 | ![]() 1 | 1 |
1 | ![]() 1 | ![]() 1 |
![]() 1 | ![]() 1 | ![]() 1 |
1 | ![]() 1 | ![]() 1 |
1 | 1 | ![]() 1 |
1 | ![]() 1 | ![]() 1 |
![]() 1 | 1 | ![]() 1 |
![]() 1 | ![]() 1 | ![]() 1 |
1 | 1 | ![]() 1 |
1 | 1 | ![]() 1 |
1 | ![]() 1 | ![]() 1 |
![]() 1 | ![]() 1 | 1 |
![]() 1 | ![]() 1 | ![]() 1 |
![]() 1 | ![]() 1 | ![]() 1 |
![]() 1 | 1 | ![]() 1 |
1 | ![]() 1 | ![]() 1 |
1 | ![]() 1 | 1 |
![]() 1 | ![]() 1 | ![]() 1 |
1 | ![]() 1 |
See the answer See the answer See the answer done loading solve z 2 (p 2 x 2 q 2)=1 Expert Answer Who are the experts?Share It On Facebook Twitter Email 1 Answer 0 votes answered Jan 31 Solve quadratic equations using formula x^2 10x 2 = 0 asked in Mathematics by








































































0 件のコメント:
コメントを投稿